Mycoplasma bovis resistance mutations represent a growing concern in the field of veterinary medicine, particularly given their association with fluoroquinolone resistance. Recent studies from China reveal significant mutations such as GyrA (S83F/Y) and ParC (S80R) that not only enhance resistance in Mycoplasma bovis but also heighten the threat of bovine mycoplasmosis among cattle populations. As these mutations spread, cattle diseases related to this pathogen are poised to escalate, necessitating urgent attention and intervention strategies. The emergence of these quinoone resistance mutations calls for increased vigilance and comprehensive surveillance of M. bovis infections to mitigate impacts on livestock health and agricultural productivity. With M. bovis becoming increasingly prevalent since its initial isolation nearly two decades ago, understanding the dynamics of resistance is crucial for effective disease management.
The emergence of novel mutations conferring resistance in Mycoplasma bovis poses significant challenges in treating infections in cattle, especially in regions like China where these pathogens are increasingly common. Known for causing severe conditions such as bronchopneumonia and mastitis, Mycoplasma bovis has garnered attention due to its evolving resistance mechanisms, particularly fluoroquinolone resistance. This situation raises important questions about the future management of bovine diseases, especially in light of the rapid spread of resistant strains as seen in various provinces. The presence of quinoone resistance mutations highlights the necessity of enhanced surveillance and research into effective treatment alternatives. As veterinary professionals confront the implications of Mycoplasma bovis and its resistance patterns, innovative strategies will be essential for safeguarding the health of cattle.
Overview of Mycoplasma bovis and Its Impact on Cattle Health
Mycoplasma bovis is a significant pathogen affecting cattle, leading to serious conditions such as bronchopneumonia, mastitis, and arthritis. The infections caused by M. bovis can severely impact cattle health, resulting in economic losses for farmers due to decreased productivity and livestock morality. The rise in bovine mycoplasmosis, particularly noted in regions like China, has raised concerns within the agricultural and veterinary communities about the management of this cattle disease.
In the context of cattle diseases, M. bovis infections not only pose a threat to individual animals but can also disrupt entire herds. The disease is characterized by its ability to spread quickly among livestock and its resilience in various environments. This makes it essential for farmers and veterinarians to engage in effective preventative measures, including vaccination and the monitoring of herd health to minimize outbreaks of mycoplasmosis.
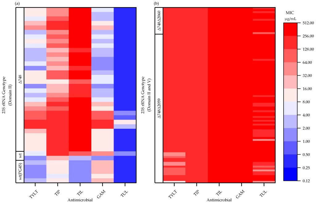
Fluoroquinolone Resistance in Mycoplasma bovis
The emergence of fluoroquinolone resistance mutations in Mycoplasma bovis represents a significant challenge in treating infections effectively. Research indicated that specific mutations in the GyrA and ParC proteins, notably the S83F/Y and S80R mutations, contribute to high levels of resistance. These fluoroquinolone resistance mutations complicate treatment options and necessitate new strategies for controlling M. bovis infections in cattle.
As resistance continues to evolve, the implications for bovine health and antibiotic management are profound. The need for effective surveillance and better antibiotic stewardship practices is increasingly critical as we face a growing number of resistant strains. Understanding the genetic basis for fluoroquinolone resistance not only aids in developing targeted therapies but also highlights the importance of ongoing research in veterinary microbiology to combat bovine diseases.
Because of the emergence of these resistance mutations, veterinary practitioners must remain vigilant in their monitoring and management of Mycoplasma bovis outbreaks. Implementing rapid diagnostic tools and promoting the responsible use of antibiotics are vital strategies that can significantly affect the control of bovine mycoplasmosis.
The Role of Surveillance in Managing Mycoplasma bovis Infections
Surveillance plays a crucial role in managing Mycoplasma bovis infections across cattle populations. By closely monitoring the prevalence and distribution of the bacteria, researchers and veterinarians can identify outbreak patterns and develop intervention strategies to combat the spread of bovine mycoplasmosis. The findings from studies conducted over the past decade underscore the importance of consistent and systematic surveillance efforts, particularly in regions where M. bovis has become endemic.
In China, the rapid dissemination of M. bovis since its first isolation in 2008 highlights the urgency for enhanced monitoring programs. Veterinary authorities and livestock producers must collaborate to establish robust surveillance systems that can track antibiotic resistance patterns, including those associated with fluoroquinolone use. This cooperation can support proactive measures to curtail the impact of this pathogen on cattle health, ensuring both animal welfare and economic sustainability.
Understanding Quinolone Resistance Mutations
Quinolone resistance mutations in Mycoplasma bovis are a growing concern, particularly given their capacity to render traditional antibiotic treatments ineffective. The study of mutations in key proteins such as GyrA and ParC is essential for understanding how these bacteria adapt to antibiotic pressure. By investigating the specific mutations responsible for resistance, researchers can better predict outcomes of treatment and inform the development of new therapeutic strategies.
In addition to their immediate clinical relevance, these quinolone resistance mutations can have broader implications for public health and animal production. With the increase in resistant strains, it becomes imperative for researchers to explore alternative treatments and preventative measures that minimize the risk of resistance development in Mycoplasma bovis. Understanding the molecular mechanisms underlying resistance will aid in guiding future research towards effective solutions in the field.
Combating Bovine Mycoplasmosis Through Improved Practices
To effectively combat bovine mycoplasmosis caused by Mycoplasma bovis, farmers and veterinarians must adopt improved management and treatment practices. These include the implementation of biosecurity measures to prevent disease introduction and spread, alongside the judicious use of antibiotics. In light of increasing resistance mutations, integrating alternative therapies and promoting herd health through vaccination can significantly enhance outcomes in cattle management.
Education and training of livestock producers are also critical components in the successful management of M. bovis infections. Raising awareness about the potential risks of antibiotic misuse and the need for responsible treatment practices can help mitigate the emergence of resistant strains. By fostering a culture of preventive care and vigilance, the livestock industry can better safeguard animal health and productivity.
The Economic Impact of Mycoplasma bovis on the Cattle Industry
The economic burden of Mycoplasma bovis infections on cattle farms can be substantial, with losses stemming from decreased milk production, growth rates, and increased veterinary costs. As bovine mycoplasmosis becomes more prevalent, the financial implications for farmers underscore the need for effective disease management strategies. The prevalence of fluoroquinolone resistance mutations further complicates this issue, as treatment failures can lead to prolonged disease outbreaks.
As producers face the challenge of rising costs associated with managing Mycoplasma bovis, investing in preventive measures becomes critical. These may include enhancing biosecurity protocols, regular health assessments, and fostering good husbandry practices. Ultimately, understanding the dynamics of M. bovis infections and their economic repercussions can drive more informed decision-making in livestock health management.
Emerging Strategies for Treatment and Prevention of M. bovis
Emerging strategies for the treatment and prevention of Mycoplasma bovis infections focus on a multipronged approach that incorporates advanced therapies, vaccination, and management practices. As research continues to uncover the genetic basis for quinolone resistance mutations, the veterinary community is exploring alternatives that could bypass these resistance mechanisms. Investigating new antibiotics or treatment protocols that do not induce resistance is essential for creating effective management strategies.
In addition to pharmaceutical innovations, the integration of vaccination programs can play a pivotal role in controlling the spread of M. bovis. Vaccines designed to enhance the immune response against mycoplasma infections can significantly reduce disease incidence and improve overall herd health. By combining vaccination with robust surveillance and treatment protocols, the livestock industry can develop a comprehensive approach to mitigate bovine mycoplasmosis risks.
International Perspectives on Mycoplasma bovis Management
International collaboration is essential for managing Mycoplasma bovis infections and addressing the global threat posed by antibiotic resistance. Countries that have faced challenges with M. bovis are sharing insights and strategies that can enhance disease control measures worldwide. By exchanging knowledge about successful interventions, researchers and veterinarians can identify best practices that are adaptable to their local contexts.
Furthermore, analyzing the evolution of resistance patterns, including fluoroquinolone resistance mutations, across different regions can provide valuable data for developing comprehensive treatment guidelines. The establishment of international standards for monitoring M. bovis infections will not only facilitate better management strategies but also contribute to broader efforts in combating antibiotic resistance in veterinary medicine.
Future Research Directions in Mycoplasma bovis Studies
Future research in Mycoplasma bovis studies is vital for advancing our understanding of this pathogen and improving control measures for bovine mycoplasmosis. Areas of interest include the characterization of newly identified resistance mutations and their implications for treatment efficacy. Additionally, investigating the environmental factors that contribute to the spread of M. bovis can provide insights for effective prevention strategies.
Moreover, leveraging modern genomic technologies can enhance the tracking of resistance patterns and facilitate the development of targeted interventions. Ongoing studies that focus on the dynamics of resistant strains are essential for informing veterinarians and producers about the best practices for managing infections. Through a concerted research effort, the livestock industry can work towards minimizing the impact of Mycoplasma bovis on cattle health and productivity.
Frequently Asked Questions
What are Mycoplasma bovis resistance mutations and how do they affect treatment?
Mycoplasma bovis resistance mutations refer to genetic changes in the bacterium that lead to resistance against antibiotics, especially fluoroquinolones. The most notable mutations involve the GyrA and ParC proteins, which can significantly reduce the effectiveness of treatment options, leading to persistent infections in cattle.
How prevalent are fluoroquinolone resistance mutations in Mycoplasma bovis in China?
Fluoroquinolone resistance mutations in Mycoplasma bovis have become increasingly prevalent in China, especially since 2008. The dominant genotype identified is sequence type 52, with notable mutations such as GyrA (S83F/Y) and ParC (S80R) significantly contributing to high antibiotic resistance.
What diseases are caused by Mycoplasma bovis in cattle?
Mycoplasma bovis is responsible for several diseases in cattle, including bronchopneumonia, mastitis, and arthritis. The emergence of resistance mutations complicates treatment and management of these conditions, highlighting the importance of effective monitoring and preventive measures.
Why is increased surveillance of Mycoplasma bovis infections necessary in cattle?
Increased surveillance of Mycoplasma bovis infections is crucial due to the rise of fluoroquinolone resistance mutations. Effective monitoring can help detect outbreaks early, address the spread of bovine mycoplasmosis, and ensure better management of cattle health.
How have Mycoplasma bovis strains spread across China since 2008?
Since the first isolation of Mycoplasma bovis strains in Hubei province in 2008, these strains have rapidly disseminated across most provinces in China. The establishment of resistance mutations has contributed to this spread, emphasizing the need for robust control strategies in cattle farming.
What role do quinolone resistance mutations play in Mycoplasma bovis outbreaks?
Quinolone resistance mutations play a critical role in Mycoplasma bovis outbreaks by diminishing the effectiveness of standard antibiotic treatments. This can lead to prolonged infections and increased morbidity in affected cattle, necessitating alternative approaches to disease management.
What measures can be taken to prevent Mycoplasma bovis resistance mutations in cattle?
To prevent Mycoplasma bovis resistance mutations, measures such as responsible antibiotic use, regular health monitoring, and implementing biosecurity practices in cattle management are essential. Educating farmers about the implications of antibiotic resistance can also facilitate better control of infections.
| Key Points | Details |
|---|---|
| Study Duration | 2008–2023 |
| Dominant Genotype | Sequence type 52 |
| Resistance Mutations | GyrA (S83F/Y) and ParC (S80R) |
| Resistance Level | High resistance to fluoroquinolones |
| Diseases Caused | Bronchopneumonia, Mastitis, Arthritis |
| Geographical Spread | Widespread in China since 2008 |
Summary
Mycoplasma bovis resistance mutations represent a significant challenge in veterinary medicine, as highlighted by the emergence of novel fluoroquinolone resistance mutations identified in samples from China between 2008 and 2023. The study revealed that sequence type 52 dominated the population of these bacteria, with critical mutations in the GyrA and ParC proteins leading to high fluoroquinolone resistance. As Mycoplasma bovis infections continue to rise, particularly in livestock suffering from chronic diseases such as bronchopneumonia, mastitis, and arthritis, increased surveillance and preventative measures are essential to combat the further spread of these resistant mutations.
The content provided on this blog (e.g., symptom descriptions, health tips, or general advice) is for informational purposes only and is not a substitute for professional medical advice, diagnosis, or treatment. Always seek the guidance of your physician or other qualified healthcare provider with any questions you may have regarding a medical condition. Never disregard professional medical advice or delay seeking it because of something you have read on this website. If you believe you may have a medical emergency, call your doctor or emergency services immediately. Reliance on any information provided by this blog is solely at your own risk.








